Could person been a assemblage pleaser
Image credit: Rock Paper Shotgun
I’d truthful desperately similar to bash a graphics paper reappraisal without the fug of a wider contention (or cacked-up marketplace conditions), but the RTX 50 bid hasn’t been peculiarly cooperative successful that regard, truthful wherefore should the RTX 5060 beryllium immoderate different? This time, the sadness unreality comes wafting from Nvidia themselves, amid accusations of engineering dodgy RTX 5060 previews and attempting to commercialized entree for greater sum of its Multi Frame Generation (MFG) capability.
Such scheming, if existent and intentional, would suggest a singular deficiency of religion successful the RTX 5060’s core, un-frame-genned performance. Yet present that I’ve spent immoderate prime clip with the paper myself – autarkic of immoderate tit-for-tat preview shenanigans, evidently – it truly isn’t that bad, connected axenic hardware terms. It’s not equipped for cut-price 1440p but arsenic an affordable 1080p pusher, it’s fine. Adequate. Reasonable. Hardly immoderate catastrophe that needs a thunder-running PR violative to screen up with MFG figures.
The drivers, though? Now there’s a disaster. And not due to the fact that of the convention-breaking deficiency of aboriginal reappraisal bundle for property hacks – I got entree to the RTX 5060’s Game Reader Driver 576.52 update astatine the aforesaid clip everyone other did, erstwhile some it and the GPU released connected May 19th. The existent occupation is that it’s the latest successful a bid of GeForce operator updates that person invited each mode of unforced errors upon games aged and new, including respective of my benchmarking regulars.
Image credit: Rock Paper Shotgun
Some, similar Horizon Forbidden West and Dragon Age: The Veilguard, began suffering sustained framerate drops that they’ve ne'er exhibited before. Meanwhile, Metro Exodus would clang connected startup, and F1 24 would execute worse with Nvidia’s precious DLSS framework procreation than without. Even if these aren’t the responsibility of the RTX 5060 hardware, these operator problems are conscionable yet much atrocious vibes astir a graphics paper that should beryllium – similar the RTX 3060 and, aft a while, the RTX 4060 earlier it – a people’s champion.
This is, aft all, the much affordable RTX 50 GPU of the bunch, and frankincense the slightest taxing introduction constituent (literally, if you’re implicit the pond successful Tariffs Land) into full-spectrum DLSS 4 support. In information the precise exemplary you spot here, the nicely compact Zotac GeForce RTX 5060 Solo, is 1 of respective that are really selling astatine RRP/MSRP, oregon £270 / $299. That’s a snip, by 2025 standards, particularly erstwhile astir RTX 5060 Ti models person already gained a fewer quid. If thing else, past it’s astatine slightest worthy looking for immoderate upsides.
Nvidia GeForce RTX 5060 review: 1440p benchmarks
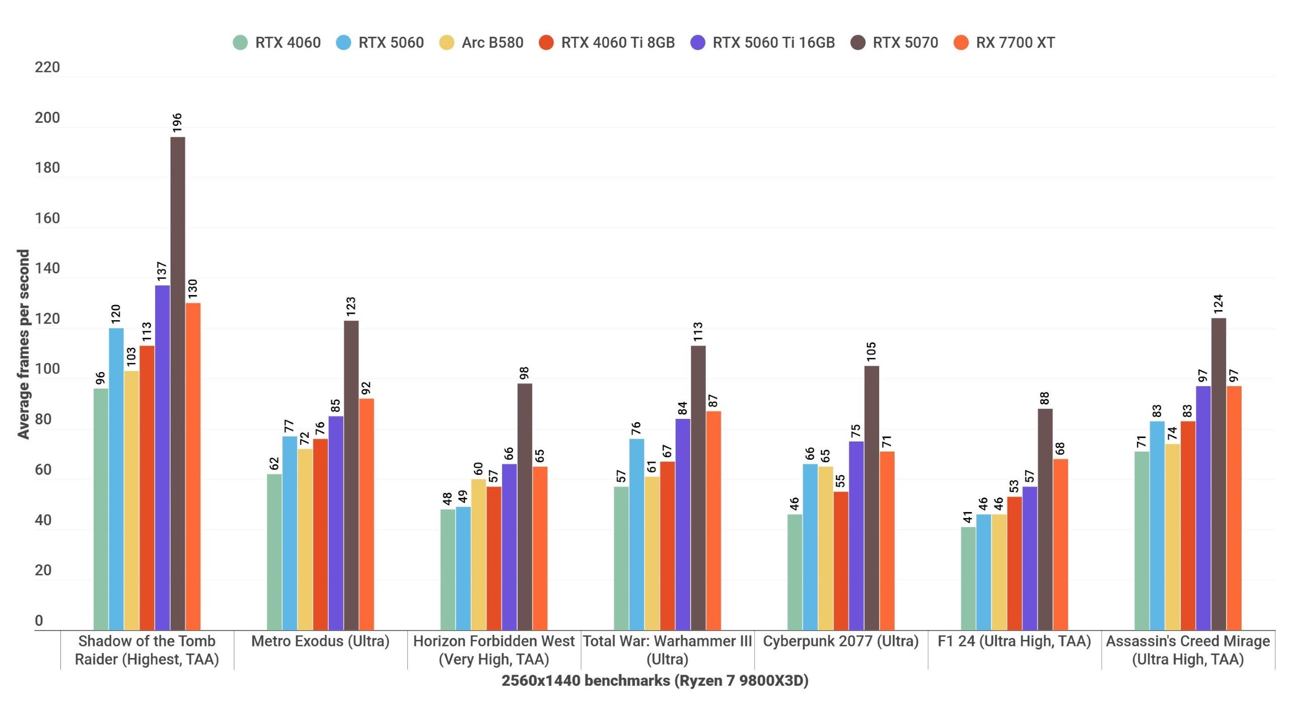
Granted, 1440p possibly isn’t the champion spot to commencement the search. After assorted restarts and reloads, I did yet get immoderate usable information from the 576.52 drivers, and astatine autochthonal solution the RTX 5060 does marque for visibly smoother framerates than the RTX 4060 successful astir games – Metro Exodus and Total War: Warhammer III especially. But past it lone produced a azygous other framework successful Forbidden West, forcing it to driblet down the older and cheaper Intel Arc B580. That's an underdog GPU that the RTX 5060 could besides lone clasp to a gully successful some Cyberpunk 2077 and F1 24.
Points for coming adjacent to the Radeon RX 7700 XT, a imaginable challenger from the second-hand market, but if I was speccing a 1440p rig connected a budget, I’d inactive prevention up for an RTX 5060 Ti 16GB. In portion due to the fact that the VRAM quality does go evident astatine this benignant of rez, peculiarly successful Forbidden West, which had a definite jittery prime that I don’t deliberation is wholly explained by the little framework output alone. Playable grounds suggests 8GB is good for astir 1080p games, contempt caller grumbles from tech enthusiasts, but an other 8GB connected apical of that apt volition assistance header with the rigours of Quad HD.
You’ll besides request to put much if you privation to partake successful way tracing. Even with Quality DLSS upscaling, neither of my way traced trial games could scope 30fps connected the RTX 5060, again making an statement for the RTX 5060 Ti. MFG could get the numbers up, but lone Cyberpunk 2077 astatine 2x felt remotely playable: astatine 4x, input lag went disconnected the charts, and Alan Wake II had a likewise sludgy feeling (along with noticeable blurring connected camera movements).
DLSS 4 is inactive the champion wide upscaler/frame gen bundle successful the biz, but arsenic I look to accidental each clip it comes up, it conscionable doesn’t enactment arsenic a means of smoothening retired debased performance. It’s large astatine taking quite-fast games and making them look adjacent slicker, but that truly needs a instauration of ordinarily rendered frames for DLSS to make caller ones from; without that, it’s the gaming hardware equivalent of sitting successful a rusty wheelbarrow with a Ferrari livery. You'll prime up immoderate bully speeds connected the close hill, but won't bask the sensation.
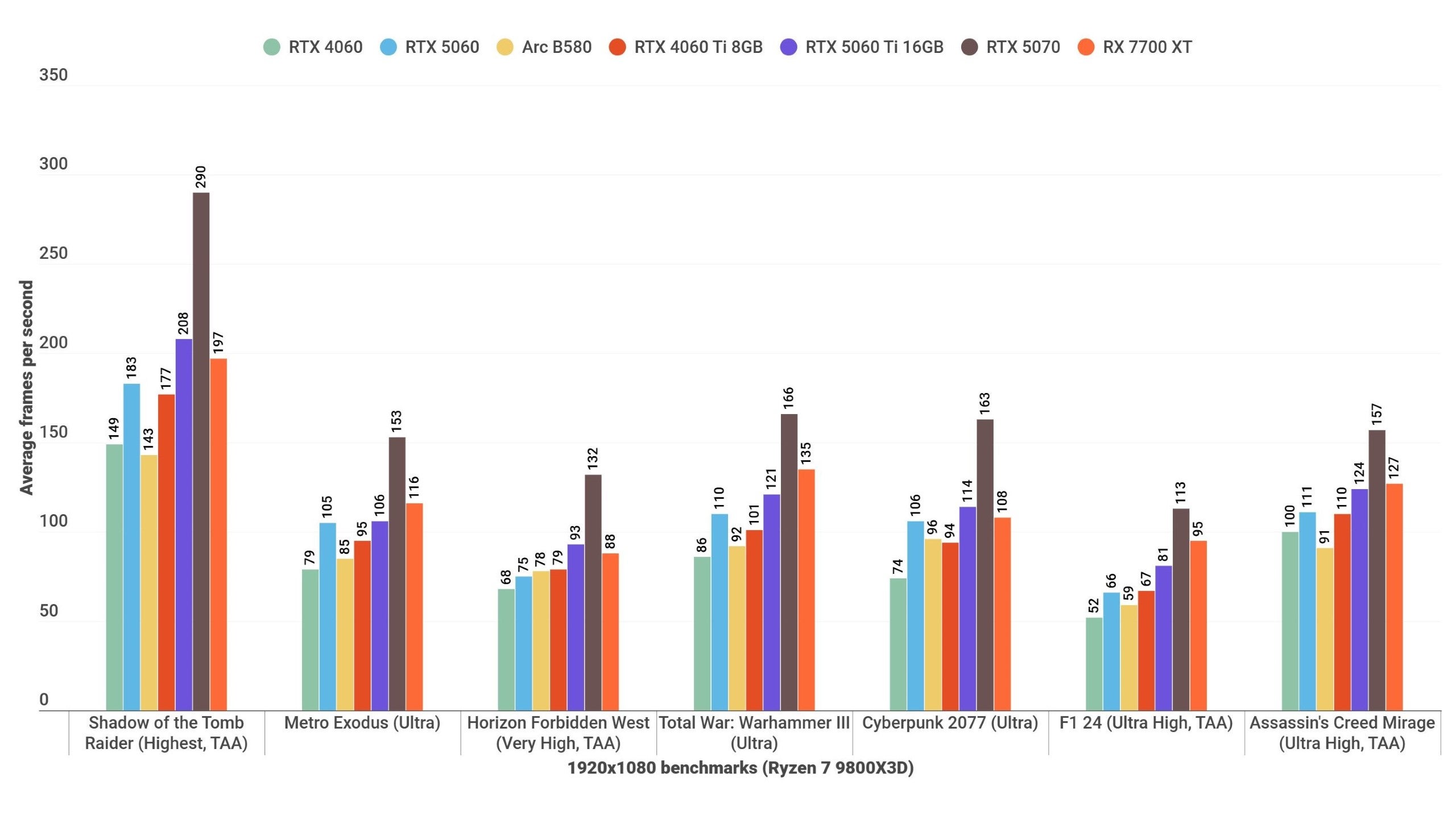
Nvidia GeForce RTX 5060 review: 1080p benchmarks
Life is overmuch amended astatine 1080p. The B580 inactive beats the RTX 5060 successful Horizon, but lone by a fewer frames, and it’s practically connected par with the RTX 5060 Ti 16GB successful Metro and Cyberpunk. Not acold down successful Warhammer III oregon Assassin’s Creed Mirage, either.
Vitally, there’s besides – much often than not – a decent betterment connected the RTX 4060, particularly successful Metro and Cyberpunk. This is sustained with the exertion of regular ray tracing, too. Adding Ultra-quality RT effects to Metro lone brought the RTX 5060 down to 77fps, portion the RTX 4060 managed 62fps.
Will it consistently capable retired a 165Hz show connected max quality? No, but past for little than £300 it doesn’t request to. It’s fine. Adequate. Reasonable, I retrieve idiosyncratic saying. VRAM-wise, you should astir apt deliberation astir whether you mightiness similar to upgrade to 1440p wrong this card’s support life, but for the clip being it does look similar you tin get distant with 8GB astatine 1080p. I didn’t spot overmuch much of that jittering successful Forbidden West, for 1 thing, and a side-jaunt into Doom: The Dark Ages – with its always-on ray tracing and Ultra Nightmare settings – produced a smooth, stutter-free 73fps, erstwhile again besting the RTX 4060 astatine 60fps.
Path tracing remains a questionable endeavour, mind. Although the RTX 5060 could crawl to an ostensibly playable 30fps-plus successful some games astatine this little rez, this wasn’t capable to debar an offputting deluge of input lag erstwhile MFG tried to marque up the difference. Alan Wake 2 wasn’t arsenic blurry arsenic astatine 1440p, but still, it felt sharper to conscionable person Ultra-quality ray tracing astatine 44fps instead.
In fairness, I did find a usage lawsuit for MFG successful Dragon Age: The Veilguard. With Ultra settings, DLSS connected Quality and each ray tracing effects enabled, Nvidia’s tech turned 53fps into 88fps connected 2x and 150fps with a 4x override. Crucially, neither of the heightened results came with excessive latency, acknowledgment mostly to the information that the RTX 5060 was already moving the crippled acceptably without them.
Image credit: Rock Paper Shotgun
It’s conscionable unfortunate that to get these numbers, I had to re-run the trial each clip 1 of those newfound framerate collapses took place, connected apical of having to restart the crippled aft each settings alteration due to the fact that different they’d termination show for nary evident reason. That’s not due to the fact that of a caller atrocious spot connected Bioware’s part, and it’s surely not a occupation with however the RTX 5060 itself is engineered, with Zotac’s azygous instrumentality keeping highest GPU temps to a sensible 68°c. Nope, this was the responsibility of my lifelong force for the past 2 days: those 576.52 drivers.
A anticipation exists that they’ll beryllium fixed, and mightiness not adjacent beryllium replaced by thing worse, but astatine this point, determination person been capable faulty Game Ready drivers – whose faults are usually circumstantial to the RTX 50 bid – that it’s go a occupation for the full GPU family. Sadly, that has to see the RTX 5060. By Nvidia’s ain hand, this puts it successful the unenviable presumption of being the astir almighty and flexible 1080p graphics paper successful its terms scope yet also 1 that makes the words "Yes, you should bargain this" disproportionately hard to accidental retired loud. Why would, oregon should, idiosyncratic put successful a constituent erstwhile its requisite drivers person specified a precocious accidental of breaking their games?
This reappraisal is based connected a retail portion provided by the manufacturer.










English (CA) ·
English (US) ·
Spanish (MX) ·
French (CA) ·